Drsoccerball
Well-Known Member
- Joined
- May 28, 2014
- Messages
- 3,647
- Gender
- Undisclosed
- HSC
- 2015
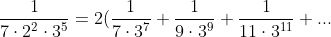
How do you prove )
Students helping students, join us in improving Bored of Studies by donating and supporting future students!
That equation is not true, although it is very close.How do you prove![]()
It doesn't, and they would probably give you clues in sub-parts of the question on how to prove it.The question is to prove that its less than the series but i thought as it approaches infty it equals it ?
There was nothing the question gave a taylor series of ln(1+x) and you had to find ln(1-x) and by that you found an approximation of ln2 by subtracting the two taylor series' and you had to sub x=1/3 and you got the answer then the next question said prove that the error of approximation of ln2 is less than the value i gave and it only gave the firs 3-4 terms of the series in the approximationIt doesn't, and they would probably give you clues in sub-parts of the question on how to prove it.
Less than what? The infinite sum, or the L.H.S. of the "equation" you posted?then the next question said prove that the error of approximation of ln2 is less than the value i gave