gurmies
Drover
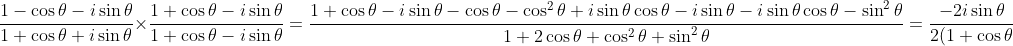
@ cyl, you can get to the final result by factoring out -i from the numerator
An alternative method below:
} \\\\ = \frac{-i\sin\theta}{1+\cos\theta} \\\\ = \frac{-2i\sin\frac{\theta}{2}\cos\frac{\theta}{2}}{2\sin^{2}\frac{\theta}{2}} \\\\ = -i\tan\frac{\theta}{2})
@ Luky, initially you are dealing with @, however the answer requires @/2, so trigonometry knowledge needs to be utilised =]
An alternative method below:
@ Luky, initially you are dealing with @, however the answer requires @/2, so trigonometry knowledge needs to be utilised =]
Last edited:
