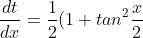
is there a reason why textbooks all do:


)
)

instead of:



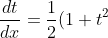
Which is much faster (imo). Is there something wrong with using the latter method? Or are textbooks just against using inverse trig differentiation =/
instead of:
Which is much faster (imo). Is there something wrong with using the latter method? Or are textbooks just against using inverse trig differentiation =/
Last edited:
