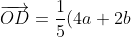
we have
 )
So you need to think about the distance from a / b in terms of

So then its closer to A, idk how they got 1/2. I would show more working like

maybe I'm missing something since I didn't do i)
Edit: they got 1/2 since if its less than 1/2 obviously its closer