Heresy
Active Member
- Joined
- Nov 13, 2017
- Messages
- 145
- Gender
- Male
- HSC
- 2019
1) In the expansion of (1+x)^16, fing the ratio of the term in x^13 to the term in x^11.
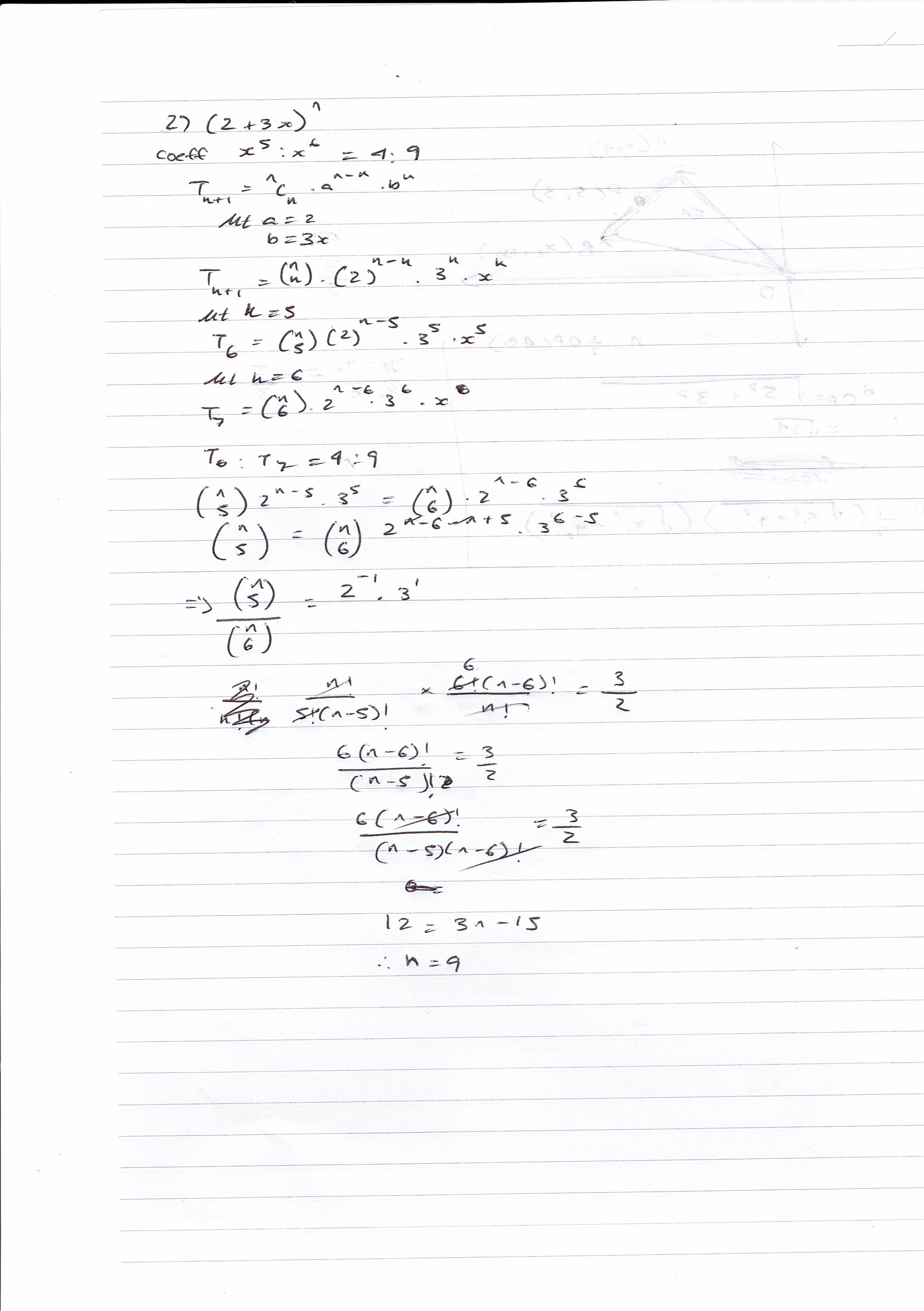
2) In the expansion of (2+3x)^n, the coefficients of x^5 and x^6 are in the ratio 4:9. Find the value of n.
Any help would be great, thanks!
2) In the expansion of (2+3x)^n, the coefficients of x^5 and x^6 are in the ratio 4:9. Find the value of n.
Any help would be great, thanks!
