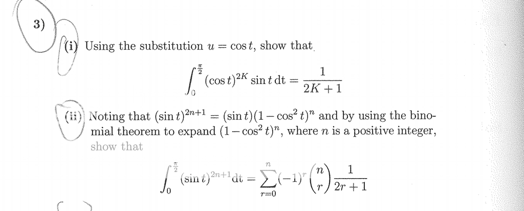
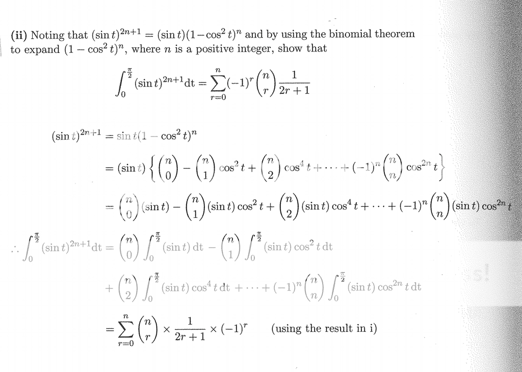
HSC 2015 MX1 Marathon (archive) (1 Viewer)

Status
Not open for further replies.

davidgoes4wce

Well-Known Member
Joined
Jun 29, 2014
Messages
1,871
Location
Sydney, New South Wales
Gender
Male
HSC
N/A
Re: HSC 2015 3U Marathon

No you didnt understand what i was trying to say... You expanded the trig expression and the integrated it after instead you should first let u =sinx so the expansion is easier and the substitution is also easier.

I've been thinking more about this question since and you can do it your way by substituting u and integrating from there. Personally, like Kinney-Lewis method and I understood it step by step.

This is how he does one of his examples:



 

dan964

what
Joined
Jun 3, 2014
Messages
3,509
Location
South of here
Gender
Male
HSC
2014
Uni Grad
2019
Re: HSC 2015 3U Marathon

http://www.algebra.com/algebra/homework/real-numbers/Set-of-Real-Numbers.lesson

I don't think Dan is correct on using that font for the letter J, I think it should be Z for the set of integers (+ve and -ve)
Its either, although I think J is the actual notation, but yes, double-stroked Z would be better. I have just seen J used a lot. (latex is playing up)

I would still advise against using S(k) for non-series questions, because that is what the notation implies.
(and I don't speak highly of the worked examples in Fitzpatrick, especially the new version)
 
Last edited:

davidgoes4wce

Well-Known Member
Joined
Jun 29, 2014
Messages
1,871
Location
Sydney, New South Wales
Gender
Male
HSC
N/A
Re: HSC 2015 3U Marathon

This question is from the Caringbah 2015 trials:



Their answer they have in their solution as A, which I understand but is it technically wrong in their solution as they do not have the '+C' constant there?
 

leehuan

Well-Known Member
Joined
May 31, 2014
Messages
5,794
Gender
Male
HSC
2015
Re: HSC 2015 3U Marathon

It should have a +C. I've seen many faulty papers where they forget +C in multiple choice though.
---------------------------------------------------------------------
 

Drsoccerball

Well-Known Member
Joined
May 28, 2014
Messages
3,647
Gender
Undisclosed
HSC
2015
Re: HSC 2015 3U Marathon

It should have a +C. I've seen many faulty papers where they forget +C in multiple choice though.
---------------------------------------------------------------------




 

braintic

Well-Known Member
Joined
Jan 20, 2011
Messages
2,118
Gender
Undisclosed
HSC
N/A
Re: HSC 2015 3U Marathon

It should have a +C. I've seen many faulty papers where they forget +C in multiple choice though.
If not having a +c is "faulty", then the table of standard integrals on the back of every HSC exam is also "faulty".
 
Joined
Sep 14, 2015
Messages
33
Gender
Male
HSC
2015
Re: HSC 2015 3U Marathon

i need help with part b please. thanks

A stone is projected with a velocity of 30m/s from a point at the foot of an inclined plane making an angle of 30 degrees to the horizontal. The path of the projectile can be assumed to be in the vertical plane containing the line of the greatest slope of the inclined plane. If the angle of projection alpha > 30 degreees, for what values of alpha will the stone strike the inclined plane:
a) horizontally (answer 49 degrees 6 mins)
b) at right angles (answer 70 degrees 54 mins)

g = 10m/s^2
 
Joined
Sep 14, 2015
Messages
33
Gender
Male
HSC
2015
Re: HSC 2015 3U Marathon

is the answer 12pi cm?
if so then what i did was
AYB=rtheta
=r x pi/3
since BC=r=12cm
AYB=4pi
P=AYB X 3 =12pi cm
 

dan964

what
Joined
Jun 3, 2014
Messages
3,509
Location
South of here
Gender
Male
HSC
2014
Uni Grad
2019
Re: HSC 2015 3U Marathon

Caringbah 2015 trials, I had no idea on how to kick start this one. Someone give me an idea on part (i).

Noting that Z, Y, X are identical lengths (equal arcs on equal angles of 60).

A is the centre of the circle which the arc BC lies on. Hence the radius of the circle is 12 cm
Similarly for the radius of the circle with centres B and C.
Hence:
X = 12 * pi/3
and similarly for Y and Z
thus P is
12 pi cm

so yes asdfghjkljqwerty (very original username) is right.

Do you need help with part ii?
 

davidgoes4wce

Well-Known Member
Joined
Jun 29, 2014
Messages
1,871
Location
Sydney, New South Wales
Gender
Male
HSC
N/A
Re: HSC 2015 3U Marathon

Noting that Z, Y, X are identical lengths (equal arcs on equal angles of 60).

A is the centre of the circle which the arc BC lies on. Hence the radius of the circle is 12 cm
Similarly for the radius of the circle with centres B and C.
Hence:
X = 12 * pi/3
and similarly for Y and Z
thus P is
12 pi cm

so yes asdfghjkljqwerty (very original username) is right.

Do you need help with part ii?
I think I may have just been having a long day, and my head was not seeing things clearly. Yes, l=r x theta is the formula to use for this one.
 

rand_althor

Active Member
Joined
May 16, 2015
Messages
554
Gender
Male
HSC
2015
Re: HSC 2015 3U Marathon

Using the Binomial Theorem, prove that 7n+2 is divisible by 3, where n is a positive integer.
 
Status
Not open for further replies.

Users Who Are Viewing This Thread (Users: 0, Guests: 1)

Top