quokka
Well-Known Member
boi that’s how yk she’s whiteified we call it nazar i thinkive never a heard a white person mention the evil eye she’s fkn arab or turk
Students helping students, join us in improving Bored of Studies by donating and supporting future students!
boi that’s how yk she’s whiteified we call it nazar i thinkive never a heard a white person mention the evil eye she’s fkn arab or turk
they clocked u lmfaoo 'K'
ikr lmaoooohe clocked u lmfaoo 'K'
I’ll actually accept advice from someone with intellect, not a slow-witted and easily ragebaited ho like youthey clocked u lmfaoo 'K'
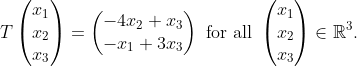
You got this come on you've learnt it before!Yo can someone do my assignment q2 pleasz thansk, prove T is a linear transformation
![]()
i can do it but i also want to watch this tv showYou got this come on you've learnt it before!
nah nah clock ini can do it but i also want to watch this tv show
So u admit ur wrong wowI’ll actually accept advice from someone with intellect, not a slow-witted and easily ragebaited ho like you![]()
I’ll actually accept advice from someone with intellect, not a slow-witted and easily ragebaited ho like you![]()
gng I’m gone as soon as atars are releasedLolcti, unfortunately, is like cryptocurrency. One day, her ragebait is mad effective, but she immediately says something stupid and the ragebait becomes ineffective. Now she will say something very offensive, get everyone riled up, and then quiet down again. Lolcti has to maintain the consistency to overtake SylviaB all time I reckon, but she has the potential.
bro imma go broke pleasegng I’m gone as soon as atars are released
mate don’t act like you’re not gonna be crawled up in your parents’ basement on bosgng I’m gone as soon as atars are released
Coolcat6778 will you hit my parlay of you getting more than 100.5+ crashout and ragebait messages by December 18 2025
short response 1 how does artistic connoisseur KSI's "Thick of It" invite readers to reconsider the importance of the human spirit in not contracting AIDS
thats tuffshort response 1 how does artistic connoisseur KSI's "Thick of It" invite readers to reconsider the importance of the human spirit in not contracting AIDS
