coolcat6778
Вanned
- Joined
- Jun 9, 2024
- Messages
- 1,536
- Gender
- Female
- HSC
- 2025
Attachments
-
256.9 KB Views: 9
Students helping students, join us in improving Bored of Studies by donating and supporting future students!
nope so scared/screwedHas anyone started physics yet
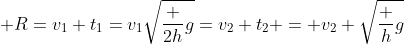
this is similar to the very last 2020 hsc questiontime of flight
vertical range
![]()
last question mx1? that took 3 lines of physics workingthis is similar to the very last 2020 hsc question
looks like ext2guys try this problem
View attachment 50182
Not quite but really similar, instead of a factor of 2 it’s a factor of k.last question mx1? that took 3 lines of physics working
